2021. 6. 13. 20:18ㆍAI-딥러닝/딥러닝
인공지능의 딥러닝 기술에 대해 공부하면서 "신경망"이라는 개념을 무조건 접하게 된다.
신경망이라는 용어는 뉴런이 모여서 하나의 그물을 형성하는 말인데
딥러닝의 기초가 되는 개념이더라... 그래서 관련 내용을 좀 정리를 해보겠다.
생물의 신경세포와 딥러닝에서 사용하는 뉴런의 생김새를 비교해보자.

사람의 신경세포의 전달구조는
시냅스 -> 수상돌기 -> 세포체 -> 축삭 -> 축삭종말 -> 시냅스 순으로 정보를 전달한다.
딥러닝에서 사용하는 단일 뉴런 또한
입력값(x_1,x_2,x_3,………x_n) -> 가중치(w_1,w_2,w_3,………w_n) -> (입력값 x 가중치)의 합 -> 출력
으로 인간의 신경세포를 모방하여 만들어 졌다.
구체적으로, 뉴런에는 다수의 입력이 있고 출력은 하나뿐이고, 각 입력에는 가중치를 곱한다. 가중치는 결합 하중이라고도 부르며, 입력마다 곱하는 값이 다 다르다(다양성을 위해).
그리고
이 가중치가 시냅스에서의 전달 효율에 해당되며 가중치 값이 클수록 더 많은 정보가 전달된다.
이제부터 단일뉴런을 뉴런이라고 그냥 말하겠습니다.
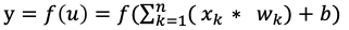
뉴런을 돔 더 설명하자면
뉴런에 들어오는 입력값들은 다음과 같은 순서로 처리되어 하나의 출력으로 나가게 됩니다
1. 들어오는 각 입력에 가중치를 곱합니다.

2. 입력과 가중치 곱을 모두 합하여 줍니다.

3. 합한 값이 편향(바이어스라고도 불림)을 더하여 준다.

4. 3에서의 계산 결과값을 u라고 한다면 u를 활성화 함수에 입력합니다.

위와 같은 결과값으로 인해 하나의 출력으로 나오게 된다.

'AI-딥러닝 > 딥러닝' 카테고리의 다른 글
| 딥러닝 - 활성화 함수 (0) | 2021.06.14 |
|---|---|
| 딥러닝 - 순전파 (0) | 2021.06.14 |
| 딥러닝 - 뉴런을 모아 네트워크화 (0) | 2021.06.13 |
| 머신러닝의 학습 방식 및 방법 (0) | 2021.05.14 |
| 인공지능, 머신러닝, 딥러닝 (0) | 2021.05.14 |